How To Create An Essay Outline In 2023

Monday, March 27th 2023. | Sample Templates
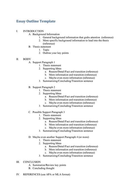
How to Write an Essay Outline [21 Examples FREE Templates]
How to Write an Essay Outline [21 Examples FREE Templates] from www.wordtemplatesonline.net

using

    tag.

    How to Create an Essay Outline in 2023

    Introduction

    Writing an essay can be a daunting task for many students. An essay outline can help make the writing process much easier and more organized. It serves as a guide that outlines the key points that need to be discussed in the essay. In 2023, creating an essay outline can be done in just a few simple steps.

    Step 1: Brainstorm Ideas

    The first step in creating an essay outline is to brainstorm ideas. Think about the topic at hand and come up with ideas that you can use to support your arguments. Write down your ideas and create a list of them for further reference.

    Step 2: Create an Outline

    The next step is to create an outline. Start by writing down the main topics that need to be addressed in the essay. These topics can serve as the main points for each of the essay’s body paragraphs. Then, under each main topic, create a list of subtopics that will provide evidence and support for the main points.

    Step 3: Add Supporting Details

    Finally, add supporting details to your essay outline. These details could include quotes, statistics, facts, or examples. Make sure to include a citation for each supporting detail so that you can properly credit the source.

    Sample Essay Outlines

    Outline 1

    • Introduction: Explain the topic of the essay and its relevance.
    • Main Point 1: Discuss the first main point and its supporting details.
    • Main Point 2: Discuss the second main point and its supporting details.
    • Main Point 3: Discuss the third main point and its supporting details.
    • Conclusion: Summarize the main points of the essay and draw a conclusion.

    Outline 2

    • Introduction: Explain the topic of the essay and its relevance.
    • Main Point 1: Discuss the first main point and its supporting details.
    • Main Point 2: Discuss the second main point and its supporting details.
    • Main Point 3: Discuss the third main point and its supporting details.
    • Counter Argument: Address any potential counter arguments.
    • Conclusion: Summarize the main points of the essay and draw a conclusion.

    Outline 3

    • Introduction: Explain the topic of the essay and its relevance.
    • Main Point 1: Discuss the first main point and its supporting details.
    • Main Point 2: Discuss the second main point and its supporting details.
    • Main Point 3: Discuss the third main point and its supporting details.
    • Comparison: Compare and contrast the main points of the essay.
    • Conclusion: Summarize the main points of the essay and draw a conclusion.

    Conclusion

    Creating an essay outline in 2023 is a relatively simple process. By following the steps outlined above, you can easily create an outline that will help you organize your thoughts and properly structure your essay. With a well-structured outline, you will be able to write an essay quickly and easily.

tags: ,